2022年9月19日,食品科学领域国际权威期刊Food Chemistry在线发表了我校国家甘蔗工程技术研究中心产品高值化利用研发室题为“Precursors and formation pathways of furfural in sugarcane juice during thermal treatment”的研究论文。该研究基于果糖/葡萄糖-丝氨酸模拟体系揭示了蔗汁热处理过程中糠醛形成的关键中间产物和3条主要形成路径。

甘蔗是主要的糖料作物,其果汁富含多种氨基酸、微量元素,生物活性物质。除制糖和鲜食外,蔗汁加工已成为甘蔗产业延伸和转型的主要途径。然而,热杀菌过程中蔗汁颜色和风味的劣变问题已成为制约其发展的瓶颈。团队前期研究基础表明热处理过程中糠醛的产生与蔗汁品质劣变密切相关。糠醛具有烤杏仁香和焦甜香,带有苦味,严重影响蔗汁风味。此外,糠醛被列入世界卫生组织国际癌症研究机构公布的3类致癌物清单中,存在一定食品安全隐患,通常被作为含糖食品热加工强度的标记物。近年来,解析异味物质和非酶褐变产物的形成机理是食品加工与安全领域的研究热点,对于糠醛的分析方法、动力学模型以及影响因素的研究也越来越受到业内的关注,但相关形成机制尚未完全清晰。
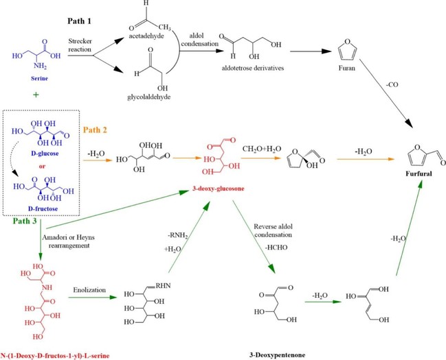
该研究基于真实蔗汁的营养组分在热加工过程中的变化规律,筛选出糠醛形成的关键前体物质:果糖、葡萄糖和丝氨酸。通过构建不同的一元“单糖”体系和二元“单糖+丝氨酸”体系,绘制糠醛形成的动态量化轨迹,鉴定出糠醛形成过程中的关键中间产物3-脱氧葡萄糖醛酮(3-DG)和果糖基丝氨酸(FS),并揭示了中间产物之间的内在关系。结果表明,蔗汁中的糠醛可能有3条形成途径:1)丝氨酸Streaker降解;2)单糖通过焦糖化反应,生成3-DG后再生成糠醛;3)单糖和丝氨酸先生成FS,由FS生成3-DG后,再通过3-DG形成糠醛。热处理的前10 min 主要通过单糖的焦糖化反应途径形成糠醛,随后三种途径同时发生作用。本研究对蔗汁加工工艺优化有重要的指导意义,同时为探索食品中其他呋喃类物质的形成机制提供参考。

蔗汁中糠醛可能的形成路径图
我校国家甘蔗工程技术研究中心产品高值化利用研发室王璐博士为该论文的通讯作者,研发室主任陈杰博、食品科学学院副教授郑明峰参与指导。我校食品科学学院研究生黄惠梅、张露露、纪宏飞、曹华锦,甘蔗中心检测员代凤霞共同参与研究。该论文得到福建省星火计划项目(2021S0028)、福建省中央引导地方科技发展专项(2021L3009)和国家甘蔗工程技术研究中心主任基金(NERD2018.4.1)资助。
原文链接:https://doi.org/10.1016/j.foodchem.2022.134318
